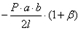
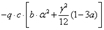
Table B3
Support moments: Beam fixed at both ends and beam fixed at one end, pinned at the other
α/α
Loading case
MA
MB
1
2
3
4
5
6
7
8
9
10
11
12
13
14
15
16
17
18
19
20
21
22
23
24
25
26
27
28
29
30
31
38
39