« Exercise 4.9.3 Exercise 4.9.5 »

 

Exercise 4.9.4

Given: Loads and concrete class are the same as in the previous exercise.

Question : Perform static analysis to determine deflections for the previous exercise slabs, considering the first two as two-way instead of one-way. See the following figure.


Figure 4.9.4-1: Project <Β_494>
Figure 4.9.4-1: Project <Β_494>

Solution:


Figure 4.9.4-2
Figure 4.9.4-2

Due to the unknown influence of cantilever slab s3 on the adjacent one, for safety reasons, slabs s2 and s1 are considered fixed at one end.

s1,s2: consider the slabs rotated by 90º, thus from table b5.2 for ε=ly/lx=4.0/5.0=0.80 akx=0.141, ky=0.859, vx=0.817, vy=0.742, am=0.0180, ρxryr=0.293, ρyerm=0.507, υxr=0.146, υyr=0.207, υyerm=0.359 a

px=kx·p=0.141x9.75=1.37 kN/m, py=ky·p=0.859x9.75=8.38 kN/m

Mxx·px · lx2/8=0.817x1.37x5.02/8=3.50 kNm

Myy·py · ly2/14.22=0.742x8.38x4.02/14.22=7.00 kNm

Myerm=-py·ly2/8=-8.38x4.02/8=-16.76 kNm

fm=0.0180x9.75x103N/m2x5.04m4/(35.20x109N/m2x1.0mx0.163m 3)==761x10-6m=0.76 mm

Vxr=Vyrxr·p·lx=0.293x9.75x5.0=14.28 kN

Vyermyerm·p·lx=0.507x9.75x5.0=24.72 kN

pxrxr·p·lx=0.146x9.75x5.0=7.12 kN/m

pyryr·p·lx=0.207x9.75x5.0=10.09 kN/m

pyermyerm·p·lx=0.359x9.75x5.0=17.50 kN/m



Figure 4.9.4-3
Figure 4.9.4-3

Support s1-s2: M1-2=-(16.76+16.76)/2=-16.76 kNm

Support s2-s3:

Μ2-3=Myerm,3=-p·ly2/2-P·ly=-14.25x1.452/2-1.35x1.45=-16.94 kNm

Vyerm,3=p·ly+P=14.25x1.45+1.35=22.01 kN

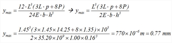
The deflection of the cantilever end is determined by the expression


, where the first term is due to the uniform load and the second to the concentrated load applied at its end.

In case of a slab (i.e. a strip of width b=1.0m), where I=b·h3/12, the maximum deflection (at the end) is:


Results are transferred to the initial coordinate system producing the following stress resultants:

M1-2=-16.76, M2-3=-16.94, Mx,1=7.00, My,1=3.50, Mx,2=7.00, My,2=3.50 [kNm]

Vxr,1=14.28, Vxerm,1=24,72, Vyr,1=14.28, Vxerm,2=24.72, Vxr,2=14.28, Vyr,2=14.28, V xerm,3=22.01 [kN]

the following equivalent uniform support reactions:

pxr,1=10.09, pxerm,1=17.50, pyr,1=7.12, pxerm,2=17.50, pxr,2=10.09, pyr,2=7.12 [kN/m]

and loads on beams:

b1: p=10.09 kN/m, b4 and b6: p=7.12, b2: p=17.50+17.50=35.00, b5 and b7: p=7.12 b3:p=10.44+22.01=32.45 [kN/m]



 


« Exercise 4.9.3 Exercise 4.9.5 »