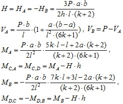
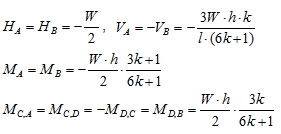
« Special cases Table B2 »

 

Tables

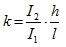
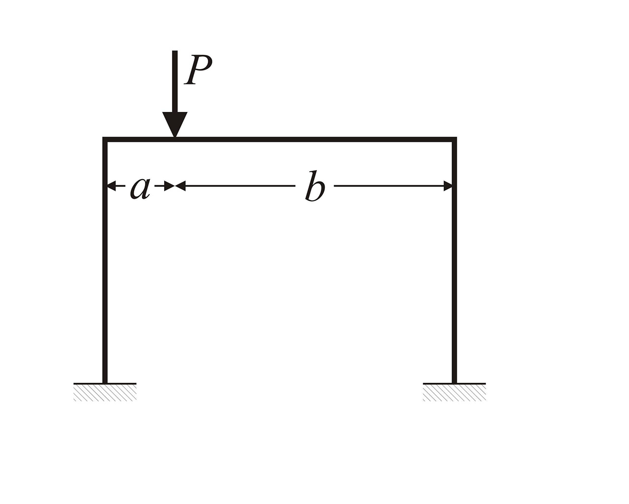
Table B1

One bay fixed frame

 


« Special cases Table B2 »