« Carpenter’s drawings Model (exemplary) construction »

 

Steel fixer’s drawings


Steel fixer’s drawing R20 FOUNDATION
Steel fixer’s drawing R20 FOUNDATION

Steel fixer’s drawing R30 BASEMENT
Steel fixer’s drawing R30 BASEMENT

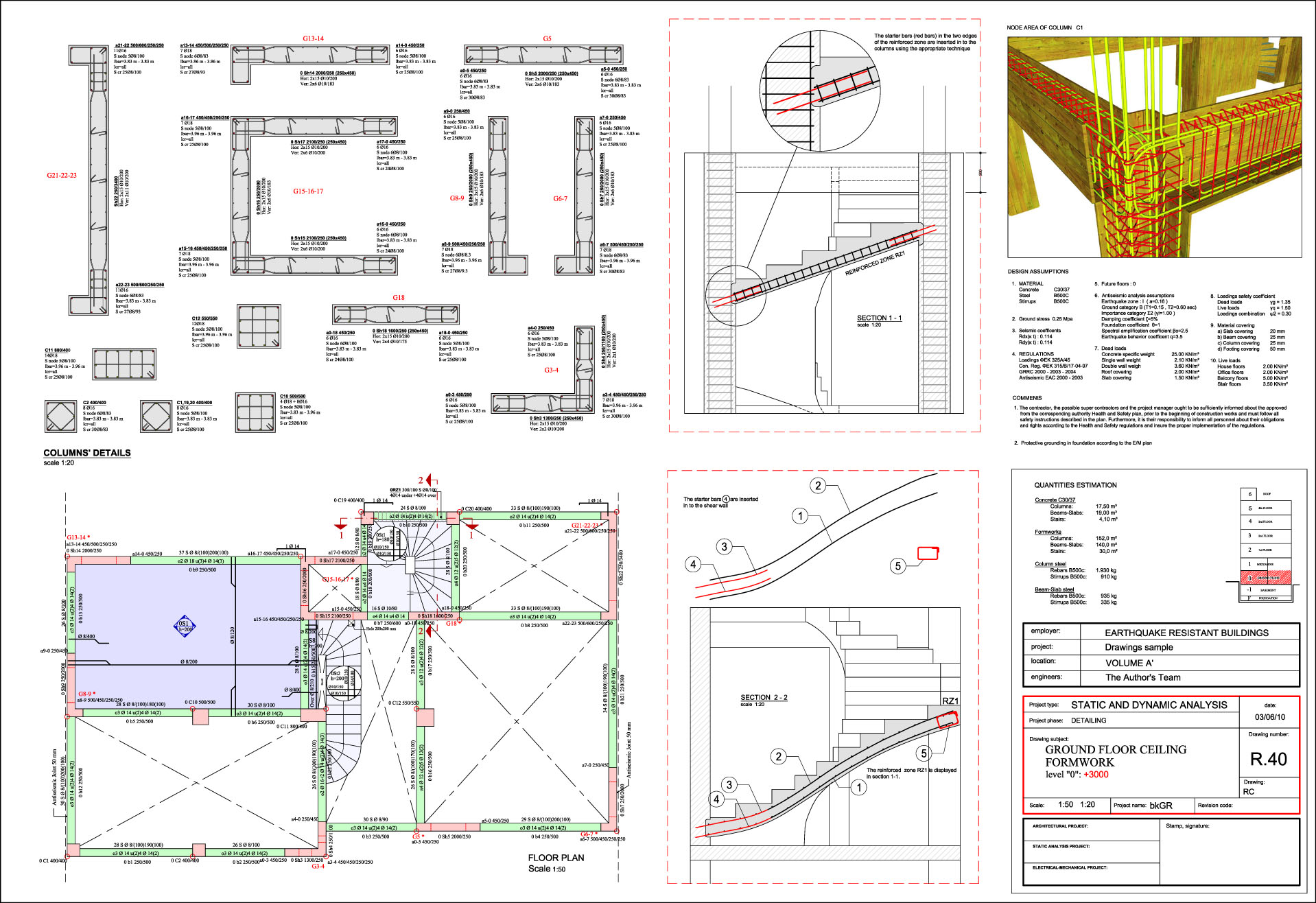
Steel fixer’s drawing R40 GROUND_FLOOR
Steel fixer’s drawing R40 GROUND_FLOOR

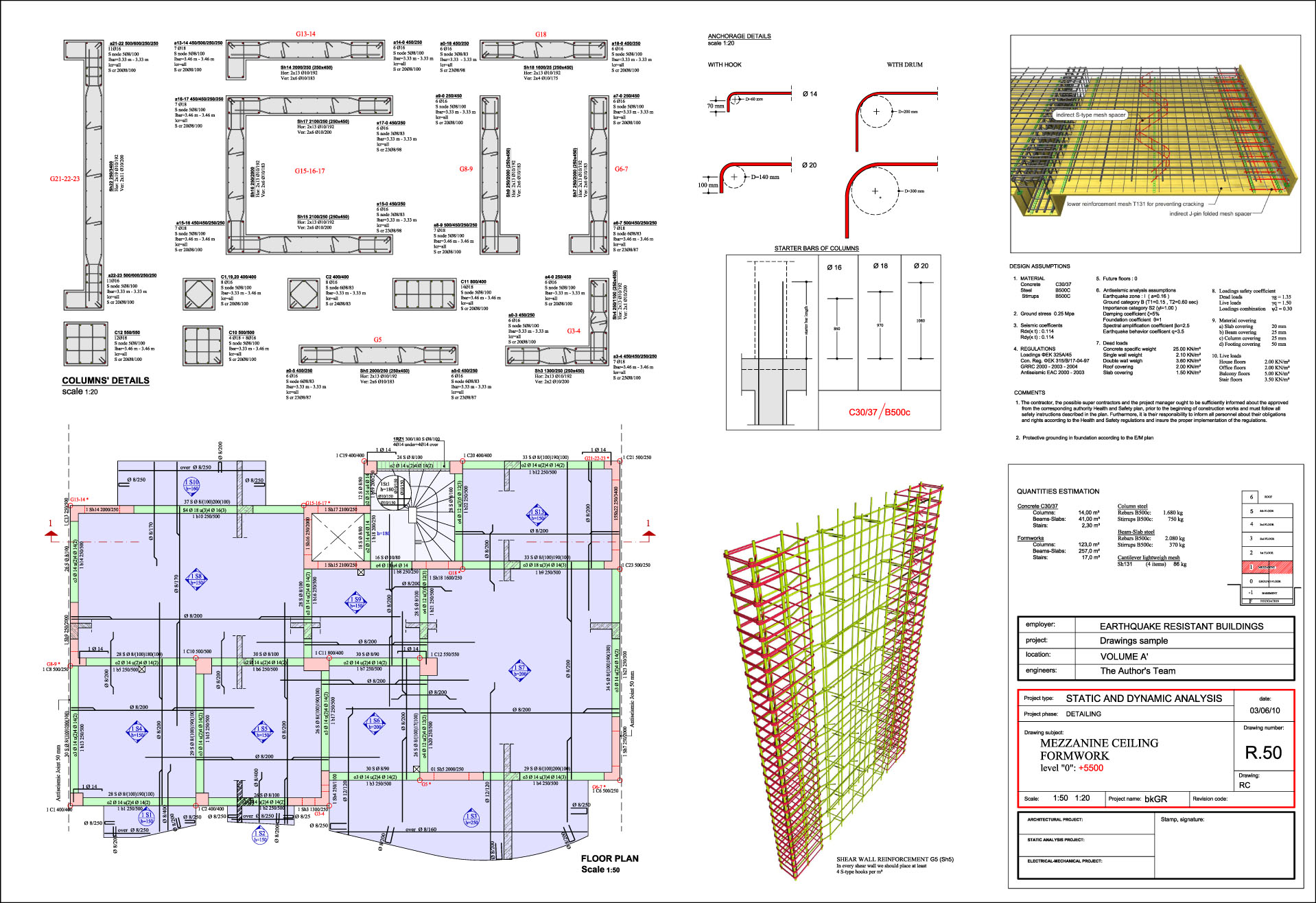
Steel fixer’s drawing R50 LOFT
Steel fixer’s drawing R50 LOFT

 


« Carpenter’s drawings Model (exemplary) construction »